合作客戶/
拜耳公司 |
同濟大學 |
聯合大學 |
美國保潔 |
美國強生 |
瑞士羅氏 |
相關新聞Info
-
> 表面張力為35.5 mN m?1可提高水凝膠涂層仿生水下非粘著超疏油性能
> 高壓CO2對表面活性劑水溶液與原油界面張力、原油乳化的影響——結果與討論、結論
> 純聚苯胺LB膜和聚苯胺與乙酸混合的LB膜制備、NO?氣體敏感特性研究(下)
> 液體表面張力受力分析圖:原理、數學模型、應用與實例
> ?表面張力大容易潤濕嗎,表面張力的影響因素有哪些
> 不同溫度下可溶解聚乙二醇低共熔溶劑的密度、電導率、表面張力等性質(一)
> 臨界表面張力、噴霧距離等對成熟期煙草農藥霧滴附著關鍵指標的影響——摘要、材料與方法
> 球擬假絲酵母菌合成槐糖脂類表面活性劑、降解含油廢水的表面張力(三)
> 不同助劑及濃度對IDK120-025型和LU120-015型噴頭霧化效果的影響(四)
> 堿、表面活性劑濃度變化對三元復合體系界面張力的影響
推薦新聞Info
-
> 嵌段比例對溫敏聚合物表面張力的影響及臨界膠束濃度分析(五)
> 嵌段比例對溫敏聚合物表面張力的影響及臨界膠束濃度分析(四)
> 利用表面張力優化浮選工藝:調整劑AY在石英-膠磷礦分離中的活性調控(二)
> 利用表面張力優化浮選工藝:調整劑AY在石英-膠磷礦分離中的活性調控(一)
> 嵌段比例對溫敏聚合物表面張力的影響及臨界膠束濃度分析(三)
> 嵌段比例對溫敏聚合物表面張力的影響及臨界膠束濃度分析(二)
> 嵌段比例對溫敏聚合物表面張力的影響及臨界膠束濃度分析(一)
> 溫度和碳碳雙鍵數對脂肪酸酯表面張力的影響(二)
> 溫度和碳碳雙鍵數對脂肪酸酯表面張力的影響(一)
> 二甲亞砜與二甲苯異構體混合物的體積收縮與表面張力降低效應(二)
表面活性劑對環氧漿液的黏度、表面張力、接觸角、滲透性的影響(二)
來源:《長江科學院院報》 瀏覽 1391 次 發布時間:2024-08-22
4表面活性劑對漿液滲透性的影響機理
從漿液固化反應機理分析:在CW灌漿材料配方中除環氧樹脂外,還含有糠醛、丙酮等成分。體系中存在3種化學反應,既有環氧基團與固化劑的逐步聚合反應,也有糠醛、丙酮之間а氫的反應,還有糠醛、丙酮與固化劑中胺的反應。隨著反應時間的延長,體系分子量不斷增加,從而導致漿液的表面張力和接觸角均隨時間的延長而不斷增加。從圖3中可以看出加入表面活性劑S1、S2能降低漿液的表面張力和接觸角。這是因為本次漿液改性選用的表面活性劑S1、S2從化學結構上屬于雙子型非離子表面活性劑。傳統表面活性劑和雙子型表面活性劑結構示意圖如圖6所示。親水端疏水端單體表面活性劑雙子表面活性劑。
圖6表面活性劑結構示意圖
傳統表面活性劑只有一個親水基團和一個親油基團,而炔醇多功能表面活性劑具有兩個親水基團和兩個親油基團(如圖6所示),由兩個雙親基對稱連接而成,其界面活性遠高于傳統的表面活性劑。
從分子結構看,炔醇多功能表面活性劑存在一個炔鍵和兩個羥基,這個區域屬于高電子密度極性區,屬于親水區域,分子兩邊多個甲基和碳—碳主鏈構成憎水區域。結構屬于緊湊型ABA形式,在分子結構上是一種非常穩定的二醇,分子量很小,使用很小的劑量就能夠提高材料的鋪展能力,進而提高材料的可灌性。S2的分子結構比S1的分子結構側鏈上多一些乙氧基基團,親水性更好。
當表面活性劑S1和S2加入到環氧漿液中,其分子遷移到漿液氣液界面,憎水部分被環氧漿液內部分子吸引,伸向環氧漿液內部,親水部分伸向空氣方向,表面活性劑的親水基與環氧漿液分子間的斥力相當于使表面的漿液分子受到一個向外推力,抵消了表面環氧漿液分子原來受到的向內的拉力,從而使環氧漿液的表面張力降低。
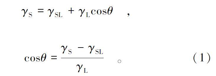
加入表面活性劑降低漿液的接觸角可以由Young方程來解釋。從Young方程
式中:γS為被灌體的界面張力(N/m),γSL為漿液與被灌體的界面張力(N/m),θ為液體/固相接觸角(°),γL為漿液的表面張力(N/m)。
對于特定的被灌體,γS僅與被灌體的表面成分有關,為定值,γSL的大小取決于漿液表面和被灌體表面的極性差異,極性差異小,漿液與被灌體的界面張力就小。如上所述表面活性劑增加了環氧漿液表面的親水性,被測的基體為玻璃,其表面的基團硅氧鍵為親水性基團,所以活性劑加入到環氧漿液可以使環氧漿液表面與玻璃表面兩相的極性差異減少,從而使γSL值減少。
因此,結合實驗數據分析,漿液中加入表面活性劑后,漿液的表面張力γL、漿液與被灌體的界面張力γSL同時降低,γS——γSLγL變大,即cosθ變大,接觸角θ變小。
漿液浸潤滲透速度隨時間變化的關系,其原因是漿液混合后,隨著時間的延長,分子量不斷增加,導致漿液的表面張力和接觸角不斷增大,從而引起漿液浸潤滲透能力隨時間延長而不斷下降。由于表面活性劑降低了漿液的表面張力和接觸角,所以能夠提高漿液在黏土中的浸潤滲透能力,有利于漿液在黏土中的滲透擴散。C1漿液在黏土中的浸潤滲透高度要大于C2漿液在黏土中的浸潤滲透高度,說明表面活性劑S2分子結構側鏈上多了乙氧基基團,雖然親水性增強,但滲透性比側鏈上沒有乙氧基基團的S1表面活性劑的改性效果差。
5結論
本文通過表面活性劑改性CW環氧樹脂漿液,全面系統地研究了改性前后漿液的黏度、表面張力、接觸角、滲透性和力學強度等特性,探討了表面活性劑對環氧漿液滲透性能的影響機理。主要結論有:
(1)加入炔屬二醇非離子表面活性劑不影響環氧漿液的初始黏度以及黏度時變性,對漿液固結體的抗壓強度、抗拉強度無明顯影響。
(2)加入炔屬二醇非離子表面活性劑可以提高漿液的粘接強度和抗剪強度,相比于空白對照組。漿液的粘接強度和拉伸剪切強度分別提高了23.6%和37.5%,C2漿液的粘接強度和拉伸剪切強度分別提高了22.2%和29.2%。
(3)表面活性劑降低了漿液的表面張力和接觸角,能夠提高漿液在黏土中的浸潤滲透能力,滲透穩定后,C1、C2漿液在黏土中的浸潤滲透高度分別提高了109.4%和64.7%。





