合作客戶/
拜耳公司 |
同濟大學 |
聯合大學 |
美國保潔 |
美國強生 |
瑞士羅氏 |
相關新聞Info
推薦新聞Info
-
> 嵌段比例對溫敏聚合物表面張力的影響及臨界膠束濃度分析(三)
> 嵌段比例對溫敏聚合物表面張力的影響及臨界膠束濃度分析(二)
> 嵌段比例對溫敏聚合物表面張力的影響及臨界膠束濃度分析(一)
> 溫度和碳碳雙鍵數對脂肪酸酯表面張力的影響(二)
> 溫度和碳碳雙鍵數對脂肪酸酯表面張力的影響(一)
> 二甲亞砜與二甲苯異構體混合物的體積收縮與表面張力降低效應(二)
> 二甲亞砜與二甲苯異構體混合物的體積收縮與表面張力降低效應(一)
> 表面能與表面張力對凍干制劑中“小瓶霧化”現象的影響機制研究
> 新型懸滴實驗系統的研制與二甲基亞砜/甲醇混合物表面張力測量(二)
> 新型懸滴實驗系統的研制與二甲基亞砜/甲醇混合物表面張力測量(一)
測量液體表面張力懸滴法介紹
來源:coco5517 瀏覽 1575 次 發布時間:2022-10-08
懸滴法
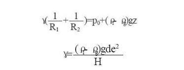
懸滴法是根據在水平面上自然形成的液滴形狀計算表面張力。在一定平面上,液滴形狀與液體表面張力和密度有直接關系。由Laplace公式,描述在任意的一點P曲面內外壓差為:
式中R1,R2為液滴的主曲率半徑;z為以液滴頂點O為原點,液滴表面上P的垂直坐標;P0為頂點O處的靜壓力。
定義:S=ds/de
式中de為懸滴的最大直徑,ds為離頂點距離為de處懸滴截面的直徑
式中b為液滴頂點O處的曲率半徑。此式最早是由Andreas,Hauser和Tucker[15]提出,若相對應與懸滴的S值得到的1/H為已知,即可求出表(界)面張力。應用Bashforth-Adams法,即可算出作為S的函數的1/H值。因為可采用定期攝影或測量ds/de數值隨時間的變化,懸滴法可方便地用于測定表(界)面張力。





